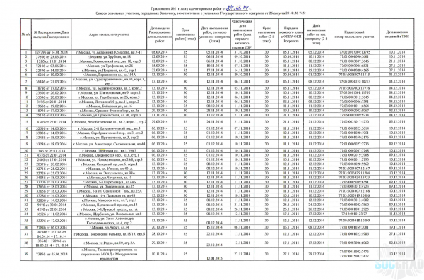
Новая точечная застройка на улице Академика Комарова
В январе 2015 на публичной кадастровой карте появился новый земельный участок между домами 7, 11 и 13 по улице Академика Комарова:
Определение границ нового земельного участка на местности с помощью планшета и публичной кадастровой карты во дворе жилого дома
В аккурат детская площадка.
Обращение префекта СВАО в Комплекс градостроительной политики и строительства города Москвы:
Определение границ нового земельного участка на местности с помощью планшета и публичной кадастровой карты во дворе жилого дома
В аккурат детская площадка.
Обращение префекта СВАО в Комплекс градостроительной политики и строительства города Москвы:
x
Похожие темы:
комментарий был удален
Зампрефект прикидывается делая вид, что не знает, как эти дома были построены по технологиям которым уже сто лет и нормы действовали другие, а еще под ними течет река в дырявом коллекторе.
Мечтающим приобрести эти земельные участки для строительства, придет время поинтересоваться в Москомархитектуре о градостроительном регламенте данной территории.
Мечтающим приобрести эти земельные участки для строительства, придет время поинтересоваться в Москомархитектуре о градостроительном регламенте данной территории.
комментарий был удален
комментарий был удален
комментарий был удален
комментарий был удален
комментарий был удален
комментарий был удален
О точечной застройке земельных участков собственников жилых помещений домов 1 и 3 на встрече жителей с главой управы 17 февраля 2016:
Детскую и спортивную площадку перенесут на земельные участки домов 11 и 13 по улице Академика Комарова, еще одной точечной застройке уже выдан ГПЗУ:





Детскую и спортивную площадку перенесут на земельные участки домов 11 и 13 по улице Академика Комарова, еще одной точечной застройке уже выдан ГПЗУ:





Несчастная улица Академика Комарова, уже наверно 5-й год над ней издевается власть всласть.
Давайте расскажу как это происходит.
На электронные торги выставляется аукцион на право заключения контракта по( в данном случае) замене, переносу и проч. коммуникаций на этой улице.
Торги проходят на понижение цены от стоимости соответст. СНИПам.
В итоге побеждает ООО, которое имеет уставный капитал 10 т. р., стол и стул и снижает цену контракта на 50%! и более процентов, затем это ООО набирает ИТР и рабочих в прямом смысле по объявлению, берёт в лизинг «убитую» технику и начинает ковырятся на участке, получив деньги по контракту, далее банкротится, а власти( до этого говорившие какие они молодцы(съэкономили ) объявляют новый аукцион.
Сейчас этот аукцион выиграла хуснулинская компания, которая тоже нихрена не делает и срывает все сроки.
Давайте расскажу как это происходит.
На электронные торги выставляется аукцион на право заключения контракта по( в данном случае) замене, переносу и проч. коммуникаций на этой улице.
Торги проходят на понижение цены от стоимости соответст. СНИПам.
В итоге побеждает ООО, которое имеет уставный капитал 10 т. р., стол и стул и снижает цену контракта на 50%! и более процентов, затем это ООО набирает ИТР и рабочих в прямом смысле по объявлению, берёт в лизинг «убитую» технику и начинает ковырятся на участке, получив деньги по контракту, далее банкротится, а власти( до этого говорившие какие они молодцы(съэкономили ) объявляют новый аукцион.
Сейчас этот аукцион выиграла хуснулинская компания, которая тоже нихрена не делает и срывает все сроки.
Для добавления комментария вам необходимо войти, авторизоваться через соц сети
или добавить гостевой комментарий
или добавить гостевой комментарий























‒ от жителей
‒ от организаций
‒ Актив Соцграда
Комментарии (31)
RSS свернуть / развернуть